← Voltar

Mega da Virada 2025 - R$ 13 milhões em apostas e por que perder ainda é o resultado mais provável

Muito dinheiro, pouca chance

Admin · 14 min · 17/01/2026

Quando a notícia veio a público, o impacto foi imediato. Um grupo formado por policiais, médicos e advogados apostou cerca de R$ 13 milhões na Mega da Virada de 2025, conforme detalhou reportagem do G1. (leia a matéria) . Não se tratava de um bolão comum, feito entre amigos com alguns poucos jogos. Era uma operação organizada, envolvendo milhões de apostas, logística, planejamento e um investimento que, para a maioria das pessoas, soa como algo capaz de “forçar” a vitória. A reação intuitiva é quase automática: com tanto dinheiro assim, alguma coisa precisa acontecer.

Essa sensação, no entanto, nasce de uma confusão bastante comum entre esforço e probabilidade. Para entender por que ela é enganosa, é preciso voltar ao básico do jogo, sem pressa, sem atalhos.

Na Mega-Sena, o apostador escolhe seis números entre sessenta possíveis. O número total de combinações distintas que podem surgir em um sorteio é dado por uma conta simples da combinatória:

Fórmula da combinação: C(60,6) = 60! / (6!·54!) = 50.063.860
C(60,6) = 50.063.860 combinações possíveis.

Essa fórmula responde a uma pergunta objetiva: de quantas maneiras diferentes é possível escolher seis dezenas dentro de um conjunto de sessenta? A resposta é pouco mais de cinquenta milhões. Esse é o verdadeiro tamanho do universo do jogo que conhecemos como Mega-Sena.

Quando alguém faz uma única aposta, acontece algo que raramente é dito de forma explícita. Existe exatamente uma combinação que faz essa pessoa ganhar. Todas as outras, as 50.063.859 restantes, fazem essa pessoa perder. Apostar não é “tentar acertar” no sentido cotidiano da palavra; é aceitar milhões de maneiras diferentes de perder e torcer para que uma única exceção aconteça.

O grupo noticiado apostou cerca de R$ 13 milhões. Como cada aposta simples custa R$ 6,00 (2025), isso corresponde a aproximadamente dois milhões cento e sessenta e seis mil jogos. O número impressiona, e com razão. Mas é aqui que a intuição costuma falhar. Dois milhões, cento e sessenta e seis mil apostas não significam dois milhões, cento e sessenta e seis mil boas chances. Significam dois milhões, cento e sessenta e seis mil tentativas dentro de um universo que tem mais de cinquenta milhões de possibilidades. Mesmo cobrindo esse volume enorme de jogos, ainda restam cerca de quarenta e sete milhões de combinações que levam à derrota, ou, para ser mais exato: 47.897.193 maneiras de perder.

Cada aposta individual tem uma probabilidade fixa de vitória, dada por:

p = 1 / 50.063.860
Probabilidade de acertar a sena em uma aposta simples.

Em termos decimais, isso equivale a aproximadamente 0,00000001997. A probabilidade de perder em uma aposta, portanto, é:

1 − p = 50.063.859 / 50.063.860
Probabilidade de perder em uma aposta simples.

Então, quando eu faço apenas uma única aposta existem 50.063.859 maneiras de perder, ou seja, realmente há muitas maneiras de não ganhar. Cada aposta é uma tentativa. Em cada tentativa, a chance de sucesso é a mesma: uma em 50.063.860. O resto é fracasso. Se fizermos duas apostas, podemos calcular a chance de ambas falharem multiplicando as probabilidades. Se fizermos dez, a mesma lógica vale. Se fizermos dois milhões, a conta continua sendo exatamente a mesma, apenas mais longa. O problema é que trabalhar com essa fórmula diretamente, quando o número de tentativas é enorme e a chance de sucesso é microscópica, vira um exercício inútil de força bruta.

Quando se fazem muitas apostas independentes, a pergunta deixa de ser “vou ganhar?” e passa a ser outra: "quantas vezes isso pode acontecer"? Nenhuma? Uma? Duas? Esse tipo de pergunta já foi feito inúmeras vezes antes, e o modelo matemático que responde a ela é conhecido como distribuição binomial. A fórmula existe, claro, sempre existe uma fórmula, mas o que ela faz é contar de quantas maneiras podemos ter exatamente k acertos em N tentativas, levando em conta a chance de sucesso e a chance de fracasso em cada uma.

A forma mais comum de escrever essa ideia é:

P(K=k) = C(N,k) · p^k · (1−p)^(N−k)
Distribuição binomial: probabilidade de k acertos em N tentativas.

No caso da quantidade de apostas desse grupo, porém, trabalhar diretamente com essa fórmula se torna pouco prático. O número de apostas é muito grande e a chance de sucesso em cada uma é quase insignificante. É exatamente nesse tipo de situação que os estatísticos recorrem a uma aproximação clássica, feita sob medida para eventos raros repetidos muitas vezes: a distribuição de Poisson.

A distribuição de Poisson resume toda a história em um único número, chamado de valor esperado, indicado pela letra grega λ. Ele é simplesmente o número de tentativas multiplicado pela chance de sucesso em cada uma:

λ = N · p
Valor esperado de acertos quando o evento é muito raro.

Com aproximadamente 2.166.667 apostas, isso vira:

λ = 2.166.667 · (1/50.063.860) ≈ 0,043
Mesmo com cerca de 2,17 milhões de apostas, o valor esperado de acertar os 06 números é de apenas ~0,04.

Em linguagem comum, isso quer dizer que, mesmo depois de apostar dois milhões de combinações, o número médio esperado de acertos de sena (o prêmio principal) ainda é muito menor do que um. Ganhar sequer uma vez continua sendo improvável.

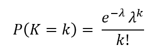
A partir desse valor, a distribuição de Poisson permite calcular a probabilidade de ocorrerem zero, um, dois ou mais acertos. A fórmula é:

P(K=k) = e^(−λ) · λ^k / k!
Distribuição de Poisson: eventos raros em muitas tentativas.

Colocando λ = 0,04 na conta, o resultado fica claro. A probabilidade de o grupo não ganhar nenhuma sena era a seguinte:

P(K=0) = e^(−0,04) ≈ 0,9608
Chance de não ganhar nenhuma sena: ~95,76%.

A chance de ganhar exatamente uma sena é:

P(K=1) = e^(−0,04) · 0,04 ≈ 0,0384
Chance de ganhar exatamente uma sena: ~4,14%.

Em termos gerais o que esses dois números estão dizendo em conjunto é o seguinte: se esse grupo apostar em 100 concursos da Mega-Sena o mesmo valor de R$ 13 milhões, bem, em 96 desses concursos eles não vão acertar as 06 dezenas.

Esses números costumam causar estranhamento porque o volume de apostas impressiona, mas a probabilidade está dizendo algo simples e desconfortável: mesmo repetindo um evento extremamente improvável milhões de vezes, o resultado mais provável ainda é que ele não aconteça nenhuma vez.

O cérebro humano pensa de forma linear. Uma aposta parece insignificante. Mil apostas já parecem muito. Dois milhões de apostas soam como algo absurdo. Mas a probabilidade não responde a esforço nem a volume de dinheiro; ela responde apenas a proporções. Dois milhões de combinações, quando comparados a cinquenta milhões de combinações, ainda são uma fração pequena do todo. O custo de apostar é gigantesco. A chance de ganhar ainda é improvável.

Há também a impressão de que o grupo assim estaria “cobrindo boa parte das combinações”, reduzindo drasticamente o risco. Reduz, sim. Mas não elimina. Cobrir as combinações de verdade significaria apostar todas as 50.063.860 combinações possíveis, algo completamente inviável. Mesmo uma estratégia extremamente organizada, com milhões de jogos distintos, ainda deixa a maior parte do universo intacta. O globo que faz o sorteio não sabe quem apostou pouco e quem apostou muito. Ele não muda de comportamento diante de esforço coletivo. Cada sorteio continua sendo um evento independente, aleatório, indiferente à quantidade de bilhetes vendidos.

A história desse grupo chama atenção porque envolve valores altos, planejamento e ousadia. Mas, do ponto de vista probabilístico, ela reforça uma lição antiga e desconfortável: apostar muito não transforma um jogo improvável em um jogo provável. Transforma apenas um evento quase impossível em um evento ainda improvável. Quando se faz uma aposta, aceita-se mais de cinquenta milhões de formas de perder. Quando se fazem dois milhões de apostas, aceita-se um pouco menos. Mas ainda se aceita a esmagadora maioria delas. A loteria não premia lógica, criatividade ou intuição. Ela premia o acaso. E o acaso não se importa nem um pouco com números grandes e com apostas milionárias.

Em outras palavras, mesmo apostando R$ 13 milhões, o cenário mais provável continua sendo o mesmo de quem faz um único jogo: perder. E foi exatamente isso que aconteceu após o resultado do sorteio: eles não acertaram os seis números e não ganharam o prêmio principal.

Adendo — por que o prêmio acumula (e como estimar isso após o sorteio)

Toda essa conta não serve apenas para olhar para trás e entender apostas gigantescas. Ela também pode ser usada para responder uma pergunta muito comum após cada concurso: por que ninguém ganhou nesse sorteio?

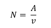
A lógica é exatamente a mesma, só que aplicada ao conjunto total de apostas feitas em um concurso. A cada sorteio, a Caixa divulga o valor arrecadado. Sabendo o preço da aposta simples, é possível estimar quantas combinações diferentes foram efetivamente jogadas.

Se chamarmos o valor arrecadado de A e o preço da aposta simples de v, o número aproximado de apostas feitas é:

Número de apostas N = A dividido pelo valor da aposta
Estimativa do número de apostas a partir da arrecadação.

Na Mega-Sena atual, com aposta simples a R$ 6,00, basta dividir a arrecadação por esse valor para obter uma boa aproximação do número de combinações jogadas.

Cada uma dessas apostas tem a mesma probabilidade de acertar os seis números, que é fixa e conhecida:

Probabilidade de acertar a sena em uma aposta simples
Probabilidade de vitória em uma única aposta.

Se quisermos calcular a chance de ninguém ganhar a sena, estamos novamente diante de um evento raro repetido muitas vezes. Para que ninguém ganhe, todas as apostas precisam falhar. Como cada aposta falha com probabilidade 1 − p, a chance de todas falharem é:

Probabilidade de ninguém ganhar: (1 - p) elevado a N
Probabilidade de nenhuma aposta acertar os seis números.

Como o valor de p é extremamente pequeno e N pode ser grande, essa expressão pode ser muito bem aproximada pela forma exponencial da distribuição de Poisson:

Aproximação de Poisson: e elevado a menos N vezes p
Aproximação usada para eventos raros com muitas tentativas.

Aplicando essa conta a concursos recentes, usando apenas a arrecadação divulgada e o valor da aposta simples, obtemos a seguinte estimativa:

Tabela com concursos, arrecadação, apostas estimadas e chance de ninguém ganhar na Mega-Sena
Estimativa da chance de ninguém ganhar a sena com base na arrecadação e no valor da aposta simples.

Esses números explicam, de forma quase constrangedora, por que o prêmio acumula com tanta frequência. Mesmo com milhões de apostas, o universo de mais de cinquenta milhões de combinações continua grande demais para ser coberto de forma eficiente.

O acúmulo, portanto, não é um sinal de azar coletivo nem de “números difíceis”. É apenas a consequência natural de um jogo em que a quantidade de apostas, embora pareça enorme, ainda é pequena diante do tamanho do espaço amostral. A matemática não garante que o prêmio vá acumular — ela apenas mostra que, na maioria das vezes, é exatamente isso que deve acontecer.

É por isso que a Mega-Sena acumula na maioria das vezes.